ECE 476/576 Summer
1999 In-Class Test Number 1
Answer all questions
Name ______________________________________________
SSN _____________________________________________
Pledge of Honor _____________________________________________
The signature required
on this line signifies that the student abides by the University's Honor
Pledge.
Q1 (a) An empty laser cavity consists of two mirrors
separated by 10 cm. The mirror
reflectivities are R1=1 and R2=0.9. Calculate the cavity
photon life-time.
1(b) The cavity is filled with a material whose index
of refraction is 1.1. Assuming that the
material is not pumped, calculate the new cavity photon life-time.
1(c) Calculate the threshold gain in cm-1
for this cavity, assuming that there are no other losses in the cavity. (Assume
that the cavity is filled with the material described in (b))
1(d) If a tuning optical element such as a prism is
introduced in the cavity, and if this element has a loss of one percent per
pass, what is the new threshold gain, in cm-1?
(Assume that the cavity is filled with the material
described in (b))
Q2 (a) A diode laser emits 3 mW continuously at 1 mm. Calculate the energy of the
photons emitted in the following units: cm-1; Joules; eV.
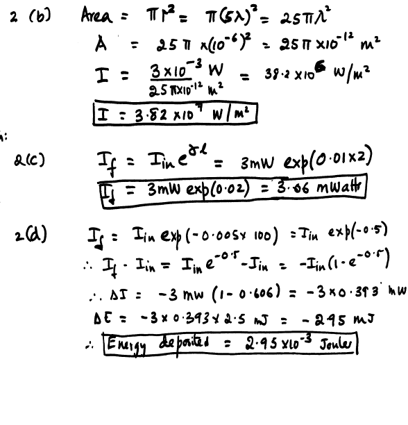
2(b) The laser beam is focused to a spot with a
diameter equal to 10l. Calculate the intensity in Watts/m2
2(c) The laser beam is passed through an optical
amplifier (length 2 cm) which has been pumped so that its gain is 0.01 cm-1. Calculate the power of the amplified
beam in Watts.
2(d) In another application, this same laser beam is
passed through an absorber whose absorption coefficient is 0.005 cm-1,
instead of through the amplifier. If
the absorbing medium has a length of 1 m, how much energy (in Joules) is
deposited in the absorber if the laser is kept on for 2.5 seconds?
Q3. Briefly,
but carefully, describe:
(a) Spontaneous emission
(b) Absorption
(c) Stimulated Emission
(d) Coherence
(e) Population Inversion
3 (f) Explain why the state of population inversion
is sometimes described as a negative absolute temperature.
3(g) Is a negative cavity photon lifetime
possible? Explain.
3(h) Is there a connection between a negative absolute
temperature and a negative cavity photon lifetime? If there is a connection, explain that connection. If here is no connection, state
"None"
_files/image002.jpg)
ECE 478/578 (Formerly 476/576) Summer 99, Test 1, Solutions
_files/image004.jpg)
_files/image007.gif)